Skip to content
  • Home
  • About
  • Working Groups & Projects
    • Alberta Beyond Coal
    • Pesticide Free Edmonton
    • Podcast
    • Onoway River Valley Conservation Association
    • Protect Our Parks
    • Reclaim Alberta
    • Building Alliances/Other Projects
  • Resources
  • Edmonton Chapter Blog
Previous Image
Next Image

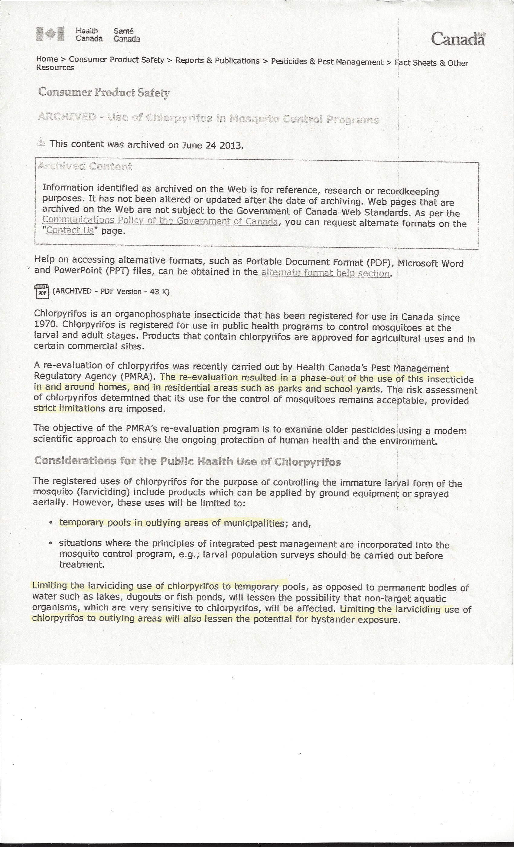
Chlorpyrifos Restricted uses Outlying areas – Health Canada

Full size1700 × 2800

Post navigation

Published in
Chlorpyrifos Restricted uses Outlying areas – Health Canada
Create a website or blog at WordPress.com
  • Subscribe Subscribed
    • edmontoncouncilofcanadians.ca
    • Already have a WordPress.com account? Log in now.
    • edmontoncouncilofcanadians.ca
    • Subscribe Subscribed
    • Sign up
    • Log in
    • Copy shortlink
    • Report this content
    • View post in Reader
    • Manage subscriptions
    • Collapse this bar